bookmark

Primordial nucleosynthesis


Overview

  • Big Bang nucleosynthesis produced the lightest elements — hydrogen, helium-4, deuterium, helium-3, and trace lithium-7 — during the first three minutes after the Big Bang, when the universe was a cooling plasma with temperatures falling from billions to hundreds of millions of degrees.
  • The predicted primordial abundances (roughly 75% hydrogen and 25% helium-4 by mass, with deuterium at about 0.003%) agree remarkably well with observations from quasar absorption systems and metal-poor galaxies, constituting one of the strongest quantitative confirmations of the hot Big Bang model.
  • A persistent factor-of-three discrepancy between the predicted and observed abundance of lithium-7 — the cosmological lithium problem — remains unresolved after four decades, and Big Bang nucleosynthesis continues to serve as a sensitive probe of physics beyond the standard model, constraining the number of neutrino species and other new particle physics.

Primordial nucleosynthesis, also called Big Bang nucleosynthesis (BBN), is the process by which the lightest atomic nuclei — hydrogen, deuterium, helium-3, helium-4, and lithium-7 — were forged in the first few minutes after the Big Bang. During this brief window, the universe was hot and dense enough to sustain thermonuclear fusion, but cooling rapidly enough that the window of opportunity closed within roughly twenty minutes. The resulting predictions for the primordial abundances of these light elements constitute one of the most quantitatively precise tests of the hot Big Bang model, successfully accounting for the observed composition of the universe across ten orders of magnitude in elemental abundance with a single free parameter: the baryon-to-photon ratio.5, 6

The theoretical framework for BBN was established in a series of landmark papers spanning three decades. In 1948, Ralph Alpher, Hans Bethe, and George Gamow published the first calculation of element formation in the early universe, arguing that the high temperatures of the primordial fireball could drive nuclear reactions to produce elements beyond hydrogen.1 P. J. E. Peebles refined the helium-4 prediction in 1966, showing that roughly 25–28 percent of the baryonic mass should emerge as helium.2 Robert Wagoner, William Fowler, and Fred Hoyle then constructed the first comprehensive nuclear reaction network for BBN in 1967, tracking the abundances of all isotopes lighter than carbon and establishing the modern quantitative framework that subsequent calculations would refine.3, 4

Physics of the first three minutes

The story of primordial nucleosynthesis begins approximately one second after the Big Bang, when the temperature of the universe was roughly 10 billion kelvin (about 1 MeV in particle physics units). At this epoch, the universe was a hot, dense plasma of protons, neutrons, electrons, positrons, neutrinos, and photons, all in approximate thermal equilibrium. The physics of BBN is governed by two key processes: the interconversion of neutrons and protons by the weak nuclear force, and the subsequent assembly of these nucleons into light nuclei by the strong nuclear force.6, 7

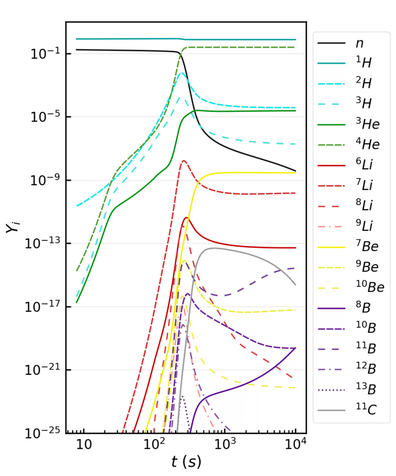
Plot showing the predicted abundances of light nuclides produced during Big Bang nucleosynthesis as a function of time
Predicted abundances of hydrogen, helium-4, deuterium, helium-3, and lithium-7 produced during Big Bang nucleosynthesis as a function of time after the Big Bang. The rapid rise and subsequent leveling off of helium-4 abundance reflects the brief window of nuclear fusion that occurred in the first three minutes of cosmic history. MyxococcusFruitingBody, Wikimedia Commons, CC BY 4.0

At temperatures above roughly 1 MeV, weak interactions — specifically the reactions in which a neutron, an electron neutrino, and a positron are interconverted with a proton, an electron, and an electron antineutrino — proceed rapidly enough to maintain an equilibrium neutron-to-proton ratio determined by the Boltzmann factor exp(−Δm c²/kBT), where Δm = 1.293 MeV/c² is the neutron-proton mass difference. Because the neutron is heavier than the proton, the equilibrium favours protons, and the neutron fraction decreases as the universe cools.6, 8

At a temperature of approximately 0.8 MeV (about 9 billion kelvin), reached roughly one second after the Big Bang, the rate of these weak interactions drops below the expansion rate of the universe. At this point, the weak interactions effectively cease, and the neutron-to-proton ratio freezes out at approximately 1:6. This ratio continues to decline slightly thereafter, however, because free neutrons are unstable, decaying to protons with a mean lifetime of approximately 878 seconds. By the time nuclear reactions begin in earnest a few minutes later, the ratio has decreased to roughly 1:7, meaning there is approximately one neutron for every seven protons.6, 19

The neutron lifetime is thus a critical input to BBN calculations, because it determines both the freeze-out ratio and the extent of neutron decay before nucleosynthesis begins. The most precise measurement to date, obtained by the UCNτ Collaboration using magnetically trapped ultracold neutrons, yields a lifetime of 877.75 ± 0.34 seconds.19 A persistent discrepancy of roughly 9 seconds between measurements using the bottle method (which counts surviving neutrons) and the beam method (which counts decay products) remains an active area of experimental investigation, though the bottle method results are currently favoured for BBN calculations.19, 21

The deuterium bottleneck

Although neutrons and protons are available from the moment of freeze-out, nuclear reactions cannot begin immediately. The first step in building heavier nuclei is the formation of deuterium through the reaction p + n → D + γ. Deuterium, however, has a binding energy of only 2.22 MeV, and at the high temperatures prevailing in the early universe there are enormous numbers of photons energetic enough to photodissociate any deuterium nucleus almost as soon as it forms. With roughly one billion photons for every baryon, even a tiny fraction of photons in the high-energy tail of the Planck distribution is sufficient to destroy deuterium faster than it can be produced.5, 6

This obstacle, known as the deuterium bottleneck, persists until the universe has cooled to approximately 0.07 MeV (about 800 million kelvin), corresponding to an age of roughly three minutes after the Big Bang. Only when the photon bath has cooled sufficiently that the number of photons above the deuterium photodissociation threshold drops below the baryon number does deuterium begin to accumulate in significant quantities. Once the bottleneck is broken, a rapid cascade of nuclear reactions proceeds, building heavier nuclei on a timescale of minutes.6, 9

The existence of the deuterium bottleneck has a profound consequence: it delays the onset of nucleosynthesis long enough for additional neutrons to decay, further reducing the neutron-to-proton ratio and therefore the final helium-4 yield. The bottleneck also ensures that BBN is extremely sensitive to the baryon-to-photon ratio η, because this ratio determines the temperature at which deuterium can survive in appreciable quantities. A higher baryon density means fewer photons per baryon, which allows deuterium to accumulate at a slightly higher temperature and earlier time, ultimately affecting the abundances of all the light elements.5, 7

The nuclear reaction network

Once deuterium survives in sufficient quantities, a network of two-body nuclear reactions rapidly processes the available nucleons into heavier isotopes. The key reactions, first mapped in detail by Wagoner, Fowler, and Hoyle, proceed through the following principal channels.3, 6 Deuterium reacts with another deuterium nucleus to produce either helium-3 plus a neutron (D + D → 3He + n) or tritium plus a proton (D + D → T + p). Deuterium also captures a proton to form helium-3 (D + p → 3He + γ) or a neutron to form tritium (D + n → T + γ). The critical step producing helium-4 then follows: helium-3 captures a deuterium nucleus to yield helium-4 plus a proton (3He + D → 4He + p), and tritium similarly reacts with deuterium to give helium-4 plus a neutron (T + D → 4He + n). Because helium-4 has an exceptionally high binding energy per nucleon (7.07 MeV per nucleon), it is by far the most thermodynamically favoured product, and essentially all available neutrons are incorporated into helium-4 nuclei.6, 8

A simple calculation illustrates this outcome. If the neutron-to-proton ratio at the onset of nucleosynthesis is approximately 1:7, then for every 2 neutrons there are 14 protons. The 2 neutrons combine with 2 protons to form one helium-4 nucleus, leaving 12 protons as free hydrogen. The mass fraction of helium-4 is therefore approximately 4/(4 + 12) = 0.25, or 25 percent — remarkably close to the observed value. This back-of-the-envelope estimate captures the essential physics: the helium-4 abundance is determined primarily by the neutron-to-proton ratio at the time of nucleosynthesis, which in turn is set by the weak interaction freeze-out and subsequent neutron decay.5, 6

The production of elements heavier than helium-4 is severely limited by the absence of stable nuclei at mass numbers 5 and 8. There is no stable isotope with five nucleons, so the reaction 4He + p does not produce a bound product, and beryllium-8 (mass 8) is famously unstable, decaying in roughly 10−16 seconds. These mass gaps effectively halt the nuclear reaction chain at helium-4 under BBN conditions, preventing the synthesis of significant quantities of carbon or heavier elements. Only trace amounts of lithium-7 (produced primarily through the reaction 3He + 4He → 7Be + γ, followed by electron capture on beryllium-7) and lithium-6 are synthesised.6, 9

Predicted primordial abundances

Big Bang nucleosynthesis abundance predictions as a function of baryon-to-photon ratio, solved using the PRIMAT code
Primordial abundance predictions for helium-4, deuterium, helium-3, and lithium-7 as functions of the baryon-to-photon ratio, calculated with the PRIMAT nuclear reaction network. The vertical band marks the baryon density measured by the Planck satellite. Shiur, Wikimedia Commons, CC BY-SA 4.0

Modern BBN calculations track a network of dozens of nuclear reactions and solve the coupled Boltzmann equations governing the evolution of each nuclear species as the universe expands and cools. The sole free parameter in the standard model of BBN is the baryon-to-photon ratio η, which quantifies the density of ordinary (baryonic) matter relative to the cosmic photon background. All four primordial abundances — helium-4, deuterium, helium-3, and lithium-7 — are predicted as functions of this single parameter.6, 8

Predicted and observed primordial abundances of the light elements6, 10, 12, 21

Element BBN prediction Observation Agreement
4He (Yp, mass fraction) 0.2470 ± 0.0002 0.2449 ± 0.0040 Consistent
D/H (number ratio) (2.52 ± 0.07) × 10−5 (2.547 ± 0.025) × 10−5 Consistent
3He/H (number ratio) ~1.0 × 10−5 (1.1 ± 0.2) × 10−5 Consistent
7Li/H (number ratio) (4.7 ± 0.7) × 10−10 (1.6 ± 0.3) × 10−10 Discrepant (∼3×)

The helium-4 mass fraction Yp is the most robustly predicted quantity, because nearly all available neutrons are processed into helium-4 regardless of the details of the reaction network. The predicted value of Yp ≈ 0.247 is primarily sensitive to the neutron-to-proton freeze-out ratio and therefore to the weak interaction rates and the neutron lifetime, with only a weak logarithmic dependence on η. Modern calculations incorporating radiative corrections, finite-temperature effects, and QED plasma corrections achieve a theoretical precision of better than 0.1 percent on Yp.8

Deuterium is the most sensitive baryon-density indicator among the light elements, because its abundance decreases steeply with increasing η. At higher baryon densities, deuterium is more efficiently processed into helium through the reaction network, leaving less residual deuterium. This strong dependence makes deuterium the premier tool for extracting the baryon density from BBN, and its predicted abundance at the Planck-determined baryon density is approximately D/H = 2.52 × 10−5, or roughly one deuterium atom for every 40,000 hydrogen atoms.6, 10

Helium-3 is produced as an intermediate product in the reaction chain leading to helium-4. Its primordial abundance is difficult to measure because stellar processes both produce and destroy helium-3, complicating efforts to infer the primordial value from present-day observations. Nonetheless, measurements in the local interstellar medium and in planetary nebulae are broadly consistent with the BBN prediction.6, 9

Lithium-7 is produced in minute quantities, primarily through the intermediate formation of beryllium-7, which subsequently captures an electron to decay to lithium-7. The predicted primordial abundance depends sensitively on η and on the cross sections of several nuclear reactions. As discussed below, the predicted lithium-7 abundance is approximately three times higher than the value inferred from observations of old, metal-poor stars, constituting the most significant unresolved discrepancy in BBN.6, 14

Observational confirmation

Testing the predictions of BBN requires measuring the primordial abundances of the light elements in astrophysical environments that have experienced minimal contamination from subsequent stellar nucleosynthesis and other chemical enrichment processes.

Two elements — deuterium and helium-4 — have been measured with sufficient precision to provide stringent tests of the theory.5, 6

The primordial deuterium abundance is determined by observing absorption lines of deuterium in the spectra of distant quasars. As light from a background quasar passes through intervening clouds of nearly pristine hydrogen gas at high redshift, deuterium atoms in these clouds absorb photons at a wavelength slightly shifted from the hydrogen Lyman series lines (because of deuterium's slightly different reduced mass), producing a characteristic absorption signature. By measuring the relative strengths of the hydrogen and deuterium absorption lines, the D/H ratio in these clouds can be determined with high precision. A landmark analysis by Cooke, Pettini, and Steidel combined measurements from multiple high-redshift absorption systems to obtain a one-percent determination of the primordial deuterium abundance: D/H = (2.527 ± 0.030) × 10−5, in excellent agreement with the BBN prediction at the baryon density measured by the Planck satellite.10

The primordial helium-4 abundance is measured by observing emission lines from metal-poor extragalactic H II regions — regions of ionised hydrogen gas in dwarf galaxies with very low heavy-element content, where the helium abundance has been minimally altered by stellar processing. By extrapolating the relationship between the helium mass fraction and the metallicity (heavy-element content) to zero metallicity, astronomers infer the primordial value. Izotov, Thuan, and Guseva incorporated near-infrared He I λ10830 emission line observations to improve the precision of the helium abundance determination, obtaining Yp = 0.2551 ± 0.0022 in some analyses.11 Aver, Olive, and Skillman applied rigorous statistical methods to observations of the extremely metal-poor galaxy Leo P and derived Yp = 0.2453 ± 0.0034.12 The current best observational estimates of Yp span the range 0.24 to 0.26, bracketing the theoretical prediction and consistent with it within the measurement uncertainties.6, 12, 21

The cosmological lithium problem

The most significant tension in BBN is the cosmological lithium problem: the predicted primordial abundance of lithium-7 exceeds the observed abundance by a factor of approximately three. Standard BBN calculations using the Planck baryon density predict 7Li/H ≈ (4.7 ± 0.7) × 10−10, whereas observations of the oldest, most metal-poor stars in the Milky Way halo consistently yield 7Li/H ≈ (1.6 ± 0.3) × 10−10 — a discrepancy significant at the 4–5σ level.6, 14

The observational evidence for the low lithium abundance is anchored in the Spite plateau, discovered in 1982 by François and Monique Spite. They observed that warm, metal-poor halo dwarf stars with effective temperatures above roughly 6000 K all display a remarkably uniform lithium abundance, independent of metallicity, at a level of A(Li) ≈ 2.2 on the standard logarithmic scale (where A(Li) = log[N(Li)/N(H)] + 12). The flatness of this plateau strongly suggests that it reflects the primordial lithium abundance, because any process that had altered the surface lithium content of these stars would be expected to produce a scatter in the observed values rather than a uniform floor.13, 15

Subsequent observations with larger samples and higher spectral resolution have confirmed the Spite plateau at metallicities above [Fe/H] ≈ −2.8, while revealing that at even lower metallicities the plateau may break down into a broader distribution with some stars showing significantly depleted lithium.15 This breakdown has been interpreted as possible evidence for stellar depletion mechanisms, but the uniformity of the plateau over the metallicity range −2.8 < [Fe/H] < −1.5 remains difficult to explain if depletion is the sole cause of the discrepancy.

Proposed solutions to the lithium problem fall into three broad categories. Astrophysical solutions invoke processes within the stars themselves — atomic diffusion, rotational mixing, turbulence, or convective overshooting — that could transport lithium from the stellar surface to deeper, hotter layers where it is destroyed by proton capture. While models incorporating combinations of these effects can in principle reduce the surface lithium abundance by the required factor of three, they must simultaneously explain the remarkable uniformity of the Spite plateau across a wide range of stellar parameters, which is a stringent constraint.14 Nuclear physics solutions propose that errors in the cross sections of the reactions producing or destroying lithium-7 and beryllium-7 could shift the predicted abundance. However, extensive experimental programmes to remeasure these cross sections have largely confirmed the standard values, and no single reaction rate modification within experimental uncertainties can resolve the discrepancy.6, 9 New physics solutions invoke exotic particles or processes — such as the decay of long-lived massive particles during or after BBN, or variations in fundamental constants — that could selectively reduce the lithium-7 yield without disturbing the excellent agreement for deuterium and helium-4.14, 18 No solution has yet achieved consensus, and the lithium problem remains one of the most actively investigated puzzles in cosmology after more than four decades.6, 14

The baryon density and consistency with the CMB

One of the most powerful aspects of BBN is that its predictions depend on a single cosmological parameter: the baryon-to-photon ratio η (equivalently expressed as the baryon density parameter Ωbh²). This parameter quantifies the total amount of ordinary matter in the universe and can be determined independently from BBN observations and from the angular power spectrum of the cosmic microwave background (CMB).5, 16

From BBN, the baryon density is extracted primarily from the primordial deuterium abundance, because D/H is the most sensitive function of η among the light elements. The Cooke, Pettini, and Steidel measurement of D/H yields Ωbh² = 0.0220 ± 0.0005 when interpreted through standard BBN theory.10, 20 From the CMB, the baryon density is determined by the relative heights of the odd and even acoustic peaks in the temperature power spectrum, which are sensitive to the baryon loading of the primordial plasma. The Planck satellite's final analysis yields Ωbh² = 0.02237 ± 0.00015, corresponding to η = (6.12 ± 0.04) × 10−10.16

Baryon density determinations from BBN and the CMB10, 16, 20

Planck CMB
0.02237
BBN (D/H)
0.02200
BBN (2024 update)
0.02218

The agreement between these two entirely independent determinations — one probing the universe at an age of three minutes, the other at an age of 380,000 years — is a remarkable triumph of the standard cosmological model. The consistency confirms that the baryon content of the universe has been conserved between these two epochs, as expected, and provides a stringent cross-check on the standard model of particle physics and cosmology. Any departure from this concordance would signal new physics operating between the BBN and CMB epochs.5, 6, 16

The 2024 BBN baryon abundance update by Yeh, Fields, and Olive performed a comprehensive reassessment incorporating the latest nuclear reaction rates and observational abundance determinations. Their conservative estimate of Ωbh² = 0.02218 ± 0.00055 remains consistent with the Planck value, though they note that the largest systematic differences arise from uncertainties in the deuterium-burning reaction rates, with theoretical ab initio calculations and experimental measurements favouring slightly different values.20

Constraining the number of neutrino species

Beyond measuring the baryon density, BBN provides a powerful probe of the particle content of the early universe. The expansion rate of the universe during the radiation-dominated era is determined by its total energy density, which receives contributions from photons, electrons, positrons, and neutrinos. Additional relativistic species — whether standard neutrinos or hypothetical new particles — would increase the energy density, accelerate the expansion, cause weak interactions to freeze out earlier at a higher neutron-to-proton ratio, and thereby increase the helium-4 yield. The primordial helium-4 abundance is therefore a sensitive counter of relativistic species present during BBN.6, 7, 18

This sensitivity is conventionally parameterised by the effective number of neutrino species, Neff. In the standard model, three flavours of neutrinos (electron, muon, and tau) contribute to the radiation energy density. Detailed calculations of neutrino decoupling, accounting for finite-temperature QED corrections and flavour oscillations, predict Neff = 3.044, slightly above 3 because the neutrinos are not completely decoupled when electron-positron annihilation reheats the photon bath.17

Joint analyses combining BBN predictions with observational abundance data constrain Neff to be consistent with 3, with an upper limit of Neff < 3.2 at the 95 percent confidence level. The Planck CMB analysis independently yields Neff = 2.99 ± 0.17, in excellent agreement.16, 21 Together, these constraints rule out the existence of a fourth light neutrino species (as was once debated) and place stringent limits on any additional light particles that were in thermal equilibrium in the early universe. This BBN constraint on Neff preceded and was later confirmed by the direct measurement of the Z boson decay width at the LEP collider, which demonstrated that exactly three light neutrino flavours couple to the weak force.5, 6

BBN as a probe of physics beyond the standard model

The sensitivity of primordial nucleosynthesis to the conditions of the early universe makes it a uniquely powerful tool for constraining physics beyond the standard model. Any new physics that alters the expansion rate, the neutron-to-proton interconversion rates, or the nuclear reaction rates during the first few minutes will leave an imprint on the primordial abundances. Because the standard BBN predictions agree so well with observations (with the exception of lithium), this concordance places severe constraints on a wide range of hypothetical scenarios.18

BBN constrains additional relativistic degrees of freedom, including sterile neutrinos, axions, gravitinos, and other light particles predicted by extensions of the standard model. It limits the properties of long-lived or metastable particles whose decays during or after nucleosynthesis could photodissociate or spallate the light elements, altering their abundances. It constrains the possible time variation of fundamental constants, including the gravitational constant, the fine-structure constant, and the strong coupling constant, because changes in these quantities would alter the nuclear reaction rates and the expansion history.7, 18

BBN also constrains models of dark matter. If dark matter particles annihilate or decay into standard model particles during the BBN epoch, the resulting injection of energetic photons or hadrons can disrupt the delicate nuclear reaction network. The absence of such disruption in the observed abundances places limits on the annihilation cross section and lifetime of dark matter candidates with masses below roughly 10 MeV.18 Similarly, BBN constrains models with large lepton asymmetries (unequal numbers of neutrinos and antineutrinos), which would alter the neutron-to-proton freeze-out ratio and shift the helium-4 abundance.7, 9

The power of BBN as a probe of new physics derives from the fact that it provides a snapshot of the universe at an age of just a few minutes and temperatures of hundreds of millions to billions of kelvin — conditions that cannot be replicated in any terrestrial laboratory. Together with the cosmic microwave background, BBN constitutes one of the two primary windows into the physics of the early universe, and the concordance between these two independent probes represents one of the most impressive quantitative successes of modern cosmology.5, 6, 16

References

1

The origin of chemical elements

Alpher, R. A., Bethe, H. & Gamow, G. · Physical Review 73(7): 803–804, 1948

open_in_new
2

Primordial helium abundance and the primordial fireball. II

Peebles, P. J. E. · Astrophysical Journal 146: 542–552, 1966

open_in_new
3

On the synthesis of elements at very high temperatures

Wagoner, R. V., Fowler, W. A. & Hoyle, F. · Astrophysical Journal 148: 3–49, 1967

open_in_new
4

Big-bang nucleosynthesis revisited

Wagoner, R. V. · Astrophysical Journal 179: 343–360, 1973

open_in_new
5

Big-bang nucleosynthesis enters the precision era

Schramm, D. N. & Turner, M. S. · Reviews of Modern Physics 70: 303–318, 1998

open_in_new
6

Big bang nucleosynthesis: present status

Cyburt, R. H., Fields, B. D., Olive, K. A. & Yeh, T.-H. · Reviews of Modern Physics 88: 015004, 2016

open_in_new
7

Primordial nucleosynthesis: from precision cosmology to fundamental physics

Iocco, F., Mangano, G., Miele, G., Pisanti, O. & Serpico, P. D. · Physics Reports 472: 1–76, 2009

open_in_new
8

Precision big bang nucleosynthesis with improved helium-4 predictions

Pitrou, C., Coc, A., Uzan, J.-P. & Vangioni, E. · Physics Reports 754: 1–66, 2018

open_in_new
9

Primordial nucleosynthesis

Coc, A. & Vangioni, E. · International Journal of Modern Physics E 26: 1741002, 2017

open_in_new
10

One percent determination of the primordial deuterium abundance

Cooke, R. J., Pettini, M. & Steidel, C. C. · Astrophysical Journal 855: 102, 2018

open_in_new
11

A new determination of the primordial He abundance using the He I λ10830 Å emission line: cosmological implications

Izotov, Y. I., Thuan, T. X. & Guseva, N. G. · Monthly Notices of the Royal Astronomical Society 445: 778–793, 2014

open_in_new
12

Improving helium abundance determinations with Leo P as a case study

Aver, E., Olive, K. A. & Skillman, E. D. · Journal of Cosmology and Astroparticle Physics 2021(03): 027, 2021

open_in_new
13

Abundance of lithium in unevolved halo stars and old disk stars: interpretation and consequences

Spite, F. & Spite, M. · Astronomy & Astrophysics 115: 357–366, 1982

open_in_new
14

The primordial lithium problem

Fields, B. D. · Annual Review of Nuclear and Particle Science 61: 47–68, 2011

open_in_new
15

The metal-poor end of the Spite plateau. I. Stellar parameters, metallicities, and lithium abundances

Sbordone, L., Bonifacio, P., Caffau, E. et al. · Astronomy & Astrophysics 522: A26, 2010

open_in_new
16

Planck 2018 results. VI. Cosmological parameters

Planck Collaboration · Astronomy & Astrophysics 641: A6, 2020

open_in_new
17

Relic neutrino decoupling including flavour oscillations

Mangano, G., Miele, G., Pastor, S., Pinto, T., Pisanti, O. & Serpico, P. D. · Nuclear Physics B 729: 221–234, 2005

open_in_new
18

Big Bang nucleosynthesis as a probe of new physics

Pospelov, M. & Pradler, J. · Annual Review of Nuclear and Particle Science 60: 539–568, 2010

open_in_new
19

Improved neutron lifetime measurement with UCNτ

Gonzalez, F. M. et al. (UCNτ Collaboration) · Physical Review Letters 127: 162501, 2021

open_in_new
20

The 2024 BBN baryon abundance update

Yeh, T.-H., Fields, B. D. & Olive, K. A. · Journal of Cosmology and Astroparticle Physics 2024(06): 048, 2024

open_in_new
21

Big Bang nucleosynthesis (review)

Fields, B. D., Olive, K. A. & Yeh, T.-H. · Physical Review D 110: 030001, 2024 (Particle Data Group)

open_in_new
0:00